朋友们!别再看日历想着AP微积分还有几天就要考试了,现在女娲补天还来得及~这里有一份AP微积分AB的佛脚指南,还不快来抱抱佛脚渡了微积分AB这个劫?考AP微积分BC的朋友们别滑走,毕竟AB考的知识点BC肯定也要考~
进入正题,讲讲必须知道的预备微积分知识。最后要紧关头,如果出现知识点都熟悉但依然做不对题目的情况,原因就是这些老朋友遗忘啦:
1.极限
极限计算想必大家都胸有成竹,那么请看下面这道题目:
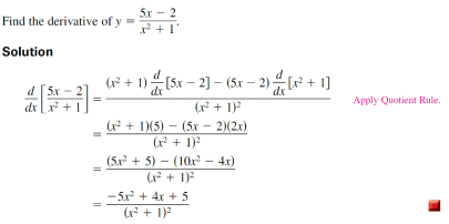
特别提醒:导数的乘除法法则其实还是有点麻烦的,想要当偷懒冠军,务必得有孙悟空般的火眼金睛,比如下面这道题:
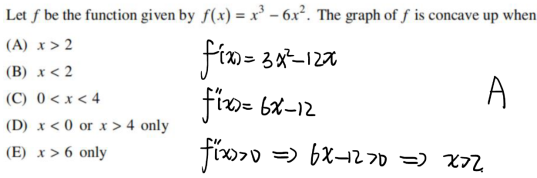
1. 给原函数的解析式,从定义出发,求原函数的二阶导,之后找到二阶导的零点,但需要该零点穿过x轴。
5. 积分计算



相关文章



精彩导读
热门资讯